Local Storage seems to be disabled in your browser.
For the best experience on our site, be sure to turn on Local Storage in your browser.
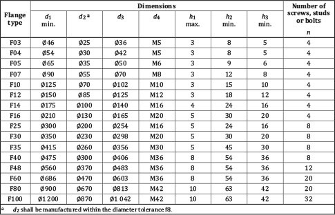
Pad dimensions for actuation according to ISO 5211


Legend
1 Part-turn actuator
Dimensions in millimeters.

